全橋變換器如圖 3.3 所示,其輸入與半橋變換器相同 ,采用倍壓全橋切換整流電路 。 全橋拓撲可用于構成接 440V 網電的離線變換器 。
全橋拓撲變換器最主要的優點是 ,其初級施加的是幅值為的方波電壓,而非半橋變換器的士Vc1c / 2 ,但其開關管承受的關斷電壓卻與半橋變換器相同 ,等于最大輸入直流電壓 。所以 在開關管承受相同峰值電流和電壓的 條件下 ,全橋變換器輸出功率是半橋變換器的兩倍 。當 然,由于全橋變換器變壓器初級承受相當于半橋變換器變壓器初級兩倍的輸入電壓 ,所以其 臣數為半橋的兩倍 。但當輸出功率和輸入直流電壓相同時 ,全橋變換器初級電流峰值和有效 值只有半橋的一半 。所以,相同功率下兩種變換器的變壓器大小是一樣的 。但若使用較大體 積的變壓器 ,全橋變換器可在相同開關管電流電壓定額 F得到兩倍于半橋的功率輸出 。
圖 3.3 中的全橋變換器有兩個輸出 ,即主輸出和輔輸出。電路工作過程為 ,斜對角的兩個MOS管開關管 ( Q2 和 Q3 或 Q4 和 QI) 同時導通,兩組開關管交替導通半個周期 ,若忽略 開關管的導通壓降 ,則施加到變壓器的初級電壓是幅值為Vdc、寬度為 ton ( 受反饋環控制)的交變方波。
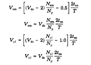
電壓和負載變化時,反饋環檢測輸出電壓Vdc 的變化并調制脈寬 ton ’ 以維持輸出電壓不變。與其他拓撲相間 ,全橋變換器輔輸出在網壓改變時能保持不變 ,但負載變化超出 5%~ 8%時,輔輸出很難保持恒定 。設每個開關管的導通壓降為 IV ,主輸出肖特基整流管的導通壓降為 0.5V ,輔輸出整流 管導通壓降也為 IV,則變換器輸出電壓為


與其他拓撲原理相同 ,當輸入電壓以一定比例上升或下降時,脈寬調制器將以同樣的 比例減小或增大脈寬保持的乘積不變來保持輸出電壓恒定 。
烜芯微專業制造二極管,三極管,MOS管,橋堆20年,工廠直銷省20%,1500家電路電器生產企業選用,專業的工程師幫您穩定好每一批產品,如果您有遇到什么需要幫助解決的,可以點擊右邊的工程師,或者點擊銷售經理給您精準的報價以及產品介紹
烜芯微專業制造二極管,三極管,MOS管,橋堆20年,工廠直銷省20%,1500家電路電器生產企業選用,專業的工程師幫您穩定好每一批產品,如果您有遇到什么需要幫助解決的,可以點擊右邊的工程師,或者點擊銷售經理給您精準的報價以及產品介紹

